Zig NEWS

mattnite
mattnite

Posted on

@import() and Packages

@import()

The import builtin is how you use code from outside your file. A string literal is given as an argument and this is either a relative path to another file or an arbitrary string configured to represent a package. An important detail here is that the path case cannot reach above the root file, so let's say we have the following filesystem:

map.zig
src/
    main.zig
    bar.zig
    parser/
        http.zig
foo/
    blarg.zig
Enter fullscreen mode Exit fullscreen mode

If your root file was src/main.zig, it could not import map.zig or foo/blarg.zig, but src/parser/http.zig could import src/bar.zig by doing @import("../bar.zig") because these are within the root's directory.

The special case for package strings that you're familiar with is "std" which the compiler configures for you automatically. Some examples of imports:

const std = @import("std");            // absolute classic
const mod = @import("dir/module.zig"); // import another file
const bad = @import("../bad.zig");     // not allowed
const pkg = @import("my_pkg");         // package import
Enter fullscreen mode Exit fullscreen mode

The other major detail here is that @import() returns a type -- I like to visualize

const mine = @import("my_file.zig");
Enter fullscreen mode Exit fullscreen mode

as:

const mine = struct {
    // contents of my_file.zig:
    // pub const Int = usize;
    // ...
};
Enter fullscreen mode Exit fullscreen mode

And now you can access Int via mine.Int. This is leads to a cool pattern where a file cleanly exports a struct by simply declaring members of a struct in the root of a file:

const Mine = struct {
    // contents of MyFile.zig:
    // data: []const u8,
    // num: usize,
    // ...
};
Enter fullscreen mode Exit fullscreen mode

The convention here is to use CapitalCase for the filename.

Packages

Packages are ultimately communicated to the zig compiler as command line arguments, I will leave it to the reader to research --pkg-begin and --pkg-end on their own. Instead I'll demonstrate what manual package configuration in build.zig looks like -- at the end of the day, this work is done for you by the package manager.

Every package is made up of one or more files, with one of them being the root. All these files are connected through file imports, and any package imports refer to the root file of another package. In the following figure we have package A and B, made up of (src/main.zig, src/file.zig) and (root.zig, src/foo.zig, src/bar.zig) respectively, and the files in package A import B. Package imports are bold arrows with a label corresponding to the string used in @import().

Alt Text

If we wanted to use package A in a program we wrote, we would have the following in our build.zig:

const std = @import("std");
const Builder = std.build.Builder;
const Pkg = std.build.Pkg;

const pkg_a = Pkg{
    .name = "a",
    .path = "/some/path/to/src/main.zig",
    .dependencies = &[_]Pkg{
        Pkg{
            .name = "b",
            .path = "rel/path/to/root.zig",
            .dependencies = null,
        },
    },
};

pub fn build(b: *Builder) !void {
    const exe = b.addExecutable("my_program", "src/main.zig");
    exe.addPackage(pkg_a);
}
Enter fullscreen mode Exit fullscreen mode

So in order to use A, you need to tell it where to find "b", and this is nice because it is trivial to drop a different implementation of package B. The configuration for "b" only counts inside files belonging to package A, we will not be able to import package B in our program, to do that we would need to explicitly configure that relationship with another call to addPackage(). Each package has its own import namespace and this allows for situations where different packages import the same code using different import strings:

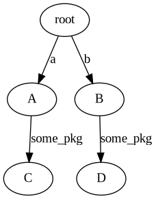
Alt Text

and it allows for different packages to be referenced with the same string:

Alt Text

This makes for a simple and consistent medium in which to perform package management, where package resolution, replacement, and upgrading challenges are more about user experience rather than technical feasibility.

Top comments (5)

Collapse
 
jumpnbrownweasel profile image
jumpnbrownweasel

Thanks for this! It is the only thing I could find in doc or by googling about relative imports.

However, a gotcha is that "zig test " doesn't use build.zig and assumes the root is the directory containing the test file, so imports outside of that directory aren't allowed:

github.com/ziglang/zig/issues/2024...

The solution is to pass "--main-pkg-path " to "zig test" as mentioned above.

This was super confusing and took a while to figure out, so I think it would be really helpful if you wouldn't mind adding something about it to the article for future searchers.

Collapse
 
rofrol profile image
Roman Frołow

Working example in zig 0.11.0-dev.1503+17404f8e6

const pkg_postgres = std.build.Pkg{
    .name = "postgres",
    .source = std.build.FileSource{
        .path = "deps/zig-postgres/src/postgres.zig",
    },
};
...
exe.addPackage(pkg_postgres);
Enter fullscreen mode Exit fullscreen mode

github.com/rofrol/zig-postgres-tryout

stackoverflow.com/questions/684211...

Collapse
 
rvcas profile image
Lucas

awesome

Collapse
 
rofrol profile image
Roman Frołow

Look at my top-level comment

Collapse
 
jpl profile image
Jean-Pierre • Edited

can you show us a working complex example please
is the package manager in version 0.9.1 ????